En estadística y econometría, en particular en series temporales, un modelo autorregresivo integrado de promedio móvil o ARIMA (acrónimo del inglés autoregressive integrated moving average) es un modelo estadístico que utiliza variaciones y regresiones de datos estadísticos con el fin de encontrar patrones para una predicción hacia el futuro. Se trata de un modelo dinámico de series temporales, es decir, las estimaciones futuras vienen explicadas por los datos del pasado y no por variables independientes.
Fue desarrollado a finales de los sesenta del siglo XX. Box y Jenkins (1976) lo sistematizaron.
Expresión y objetivos
El modelo ARIMA necesita identificar los coeficientes y número de regresiones que se utilizarán. Este modelo es muy sensible a la precisión con que se determinen sus coeficientes.
Se suele expresar como ARIMA(p,d,q) donde los parámetros p, d y q son números enteros no negativos que indican el orden de las distintas componentes del modelo — respectivamente, las componentes autorregresiva, integrada y de media móvil. Cuando alguno de los tres parámetros es cero, es común omitir las letras correspondientes del acrónimo — AR para la componente autorregresiva, I para la integrada y MA para la media móvil. Por ejemplo, ARIMA(0,1,0) se puede expresar como I(1) y ARIMA(0,0,1) como MA(1).
El modelo ARIMA puede generalizarse aún más para considerar el efecto de la estacionalidad. En ese caso, se habla de un modelo SARIMA (seasonal autoregressive integrated moving average).
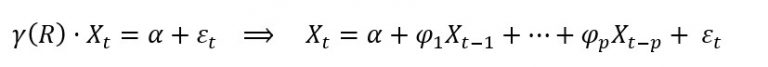
El modelo ARIMA (p,d,q) se puede representar como:
en donde d corresponde a las d diferencias que son necesarias para convertir la serie original en estacionaria, son los parámetros pertenecientes a la parte "autorregresiva" del modelo, los parámetros pertenecientes a la parte "medias móviles" del modelo, es una constante, y es el término de error (llamado también innovación o perturbación estocástica esta última asociada más para modelos econométricos uniecuacionales o multiecuacionales).
Se debe tomar en cuenta que: y " a = I alfa 1 y " a − 1 alfa 2 y " a − 2 ⋯ alfa pag y " a − pag mi a θ 1 mi a − 1 θ 2 mi a − 2 ⋯ θ q mi a − q



